受験数学サイト

数学チャンネル431

新規登録
ログイン

2020年一橋大学後期

一橋大学の一覧に戻る>>
問題PDF
大問1
大問2
大問3
大問4
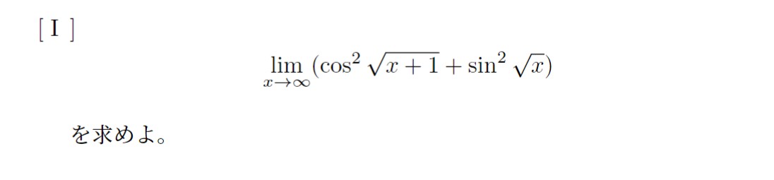
大問5I
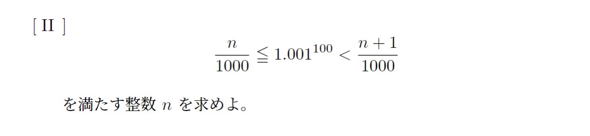
大問5II

お問い合わせ mathchannel431@gmail.com