受験数学サイト

数学チャンネル431

新規登録
ログイン

2003年東北大学後期理系

東北大学の一覧に戻る>>
問題PDF
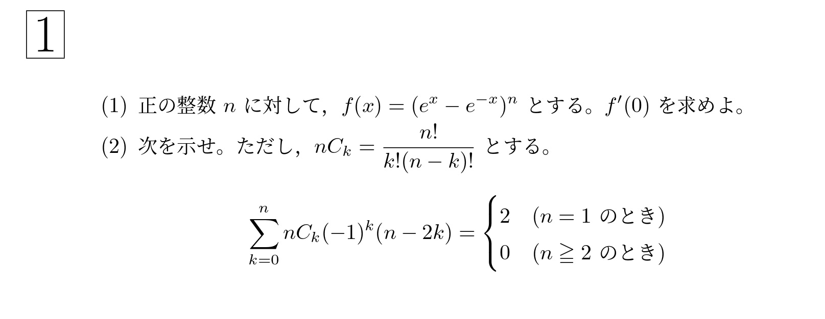
大問1
大問2
大問3
大問4
大問5
大問6

お問い合わせ mathchannel431@gmail.com