受験数学サイト

数学チャンネル431

新規登録
ログイン

2009年一橋大学前期

一橋大学の一覧に戻る>>
問題PDF
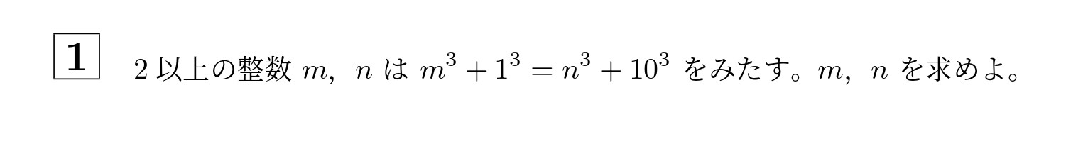
大問1
大問2
大問3
大問4
大問5

お問い合わせ mathchannel431@gmail.com