受験数学サイト
数学チャンネル431
新規登録
ログイン
問題
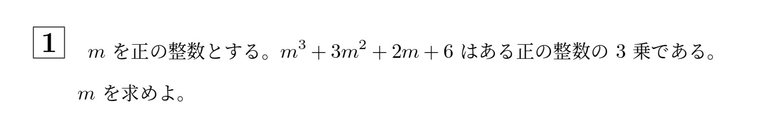
大問1
大問2
大問3
大問4
大問5
2001年一橋大学後期大問1
数学チャンネル431
記録用
保存
(解答は下にスクロール)
難易度
難易度
↓↓このページについて別解や訂正などあれば教えてください↓↓
読み込んでいます…