受験数学サイト
数学チャンネル431
新規登録
ログイン
問題
大問1
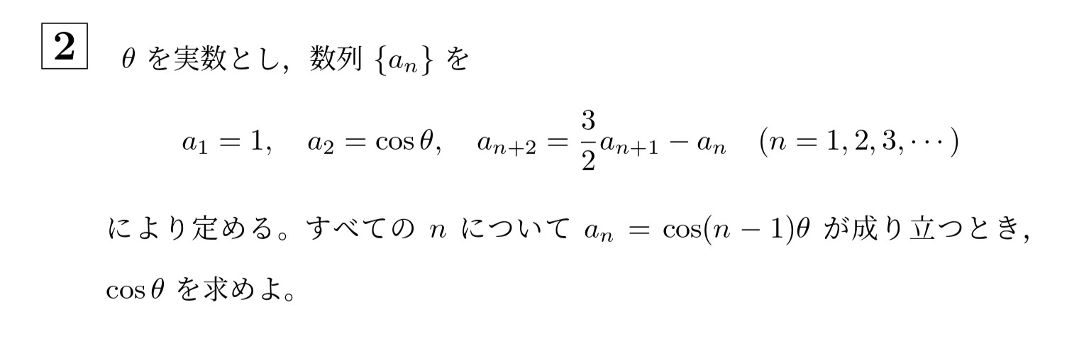
大問2
大問3
大問4
大問5I
大問5II
2016年一橋大学前期大問2
数学チャンネル431
記録用
保存
(解答は下にスクロール)
難易度
難易度
↓↓このページについて別解や訂正などあれば教えてください↓↓
読み込んでいます…