受験数学サイト
数学チャンネル431
新規登録
ログイン
問題
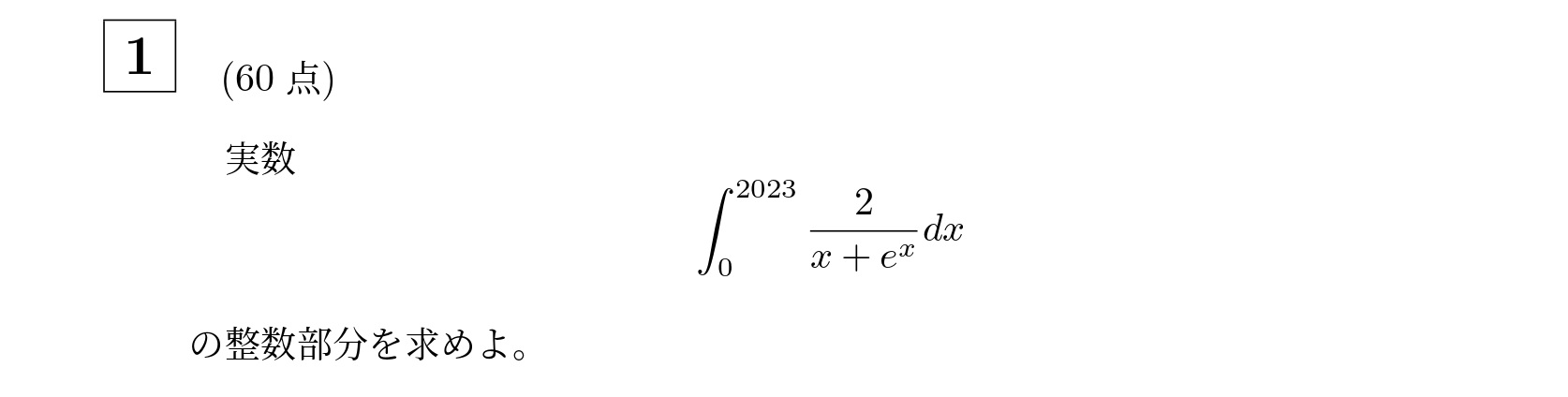
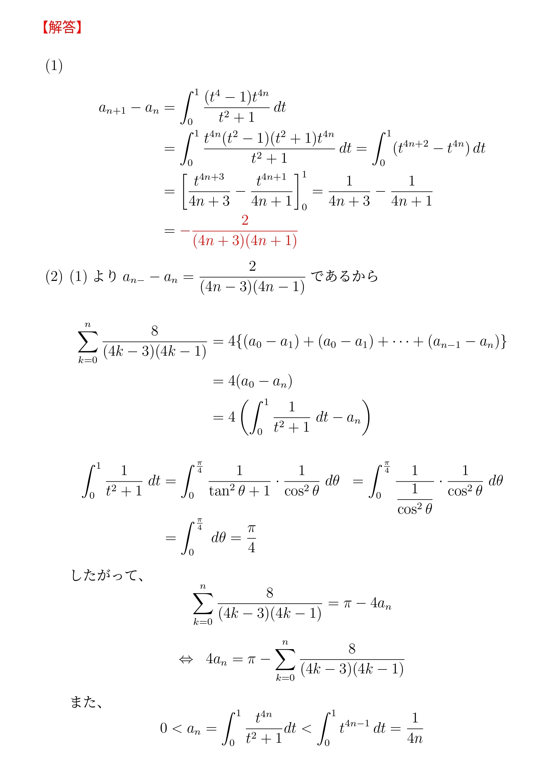
大問1
大問2
大問3
大問4
大問5I
大問5II
2025年一橋大学後期大問5II
数学チャンネル431
記録用
保存
(解答は下にスクロール)
難易度
難易度B
練習問題・類題
東京科学大学-2023-(旧東工大)-1
東京科学大学-2020-(旧東工大)-5
東京科学大学-2005-(旧東工大)-1
北海道大学-2008-理系-5
京都大学-2000-理系-5
名古屋大学-2019-理系-1
↓↓このページについて別解や訂正などあれば教えてください↓↓
読み込んでいます…