受験数学サイト
数学チャンネル431
新規登録
ログイン
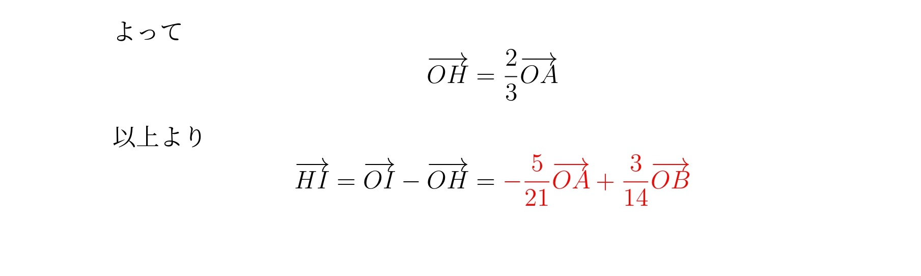
問題
大問1
大問2
大問3
大問4
大問5
2024年北海道大学理系大問4
数学チャンネル431
記録用
保存
(解答は下にスクロール)
難易度
難易度B
練習問題・類題
一橋大学-2025-前期-4
↓↓このページについて別解や訂正などあれば教えてください↓↓
読み込んでいます…